日経ニュースで話題の企業を財務分析

成長市場のインドでホシザキが攻めの一手を打つ。厨房機器大手の同社は、経済成長とともに外食市場が急拡大するインドにおいて、生産体制の強化に乗り出した。 インド市場での積極投資とグローバル展開 2026年6月には既存のタッド […]

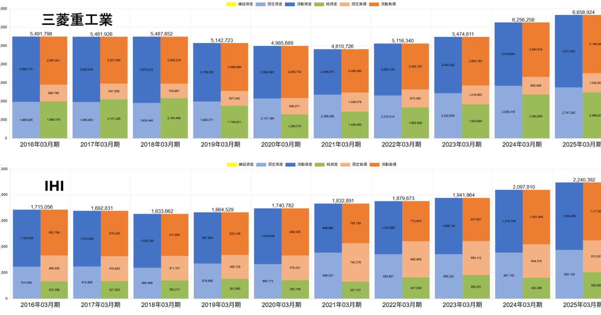
フィジカルAI時代に向けたファナックとエヌビディアの提携 産業用ロボット世界最大手のファナックが、沈静化する市場に一石を投じる動きを見せている。AIを活用した新時代のモノづくり──いわゆる「フィジカルAI」への本格対応と […]

医療・水素分野への技術転用と挑戦 SCREENホールディングスの後藤正人社長は、あるインタビューでこう語った。 「半導体製造装置で得た技術を、医療や水素といった未来分野に応用したい」 その言葉どおり、同社は画像処理や印刷 […]

コロワイドの「再生請負人」としての手腕が、ここまで鮮やかに表れるとは──。 コロワイド傘下で大戸屋が見せたV字回復 大戸屋HDは、2020年11月にコロワイド傘下に入って以降、業績のV字回復を遂げています。「大戸屋ごはん […]

大王製紙が、トイレットペーパーの“長尺化”で攻勢をかけている。 買いだめ需要が起点だった長尺品市場は、いまや「タイパ」志向の若年層にも支持され、2024年には744億円市場にまで成長。2017年比で約4.2倍だ。背景には […]

伊藤忠商事の セブン銀行への出資は、「単なるATMの置き換え」にはとどまりません。 それは、流通と金融が交差する未来を見据えた、本格的な戦略投資です。 ATM刷新による金融インフラ統合戦略 同社は、傘下のファミリーマート […]

M&Aを次々に打ち出し、クラウド会計の覇者として注目を集める freee。 時価総額は前年比+754億円(+46%)と急伸しましたが、財務の視点から見れば、まったく異なる景色が浮かび上がります。 営業効率は改善せ […]

TOB不成立の背景と経営者の見解 ミネベアミツミの貝沼由久会長兼CEOは、 芝浦電子に対するTOB(株式公開買付け)が不成立に終わった件について、「高値づかみを避けた点で敗軍ではない」と総括した。ヤゲオが提示した1株7, […]

創業家に11年ぶりの経営バトンが渡る 2025年、サントリーホールディングスの社長に就任したのは、創業家出身の鳥井信宏氏。実に11年ぶりに、経営のバトンが創業家に戻ってきたことになります。この節目に、私たちは何を読み取り […]

東京エレクトロン、熊本新開発棟で“1ナノ以降”に挑む 東京エレクトロンが熊本に新たに竣工した新開発棟は、総額470億円という壮大なスケールの投資。2026年春の稼働を目指し、半導体製造装置の開発領域で「1ナノ」以降という […]

高島屋の低PBRに対する誤解 高島屋の PBR 株価純資産倍率(Price Book-value Ratio)。株価が1株当たり純資産の何倍で取引されているかを示す指標です。 一般に「1倍割れ=割安」と見られがちですが、 […]

トライアルHD、首都圏への進出と価格戦争の幕開け BSバランスに映る覚悟 九州から全国へ、そして首都圏へ—— ディスカウントストア大手のトライアルホールディングス(福岡市)が、いよいよ東京に挑む。2025年11月、東京都 […]

監査意見不表明という異例の決算 ニデックに走った衝撃——。2025年3月期決算で、監査法人から「 監査意見不表明 監査法人が財務諸表に対する「適正」「不適正」「限定付き適正」のいずれの意見も表明できない状態を指します。 […]

超優良企業としての実力──数字が物語る強さ 2025年9月、 日本特殊陶業が デンソーからスパークプラグおよび排ガス用センサー事業を1806億円で買収することに正式合意。この一手により、自動車プラグ分野で世界シェア6割と […]

AI戦略の裏にある財務の深層 「AIで駆動する社会の実現」へ――富士通が米NVIDIAとの戦略提携を発表したこのニュースは、単なる技術提携ではありません。これは、日本企業が世界のAI競争の最前線へと踏み出す、歴史的な一手 […]

新浪氏のTHC報道と企業ブランドへの波紋 サントリーホールディングス前会長・新浪剛史氏が購入したサプリに、大麻由来の違法成分THCが含まれていた可能性が報じられました。THCは幻覚や多幸感といった精神作用を持ち、依存性や […]

再開発白紙化──中野サンプラザに何が起きたのか 「音楽の聖地」として親しまれてきた中野サンプラザ。長年の歴史に幕を下ろし、新たなランドマークとして生まれ変わる――はずだったその再開発計画が、ついに“白紙”となった。 老朽 […]

新浪氏のTHC疑惑と法的リスク サントリーホールディングス前会長・新浪剛史氏が購入したサプリに、大麻由来の違法成分THCが含まれていた可能性が報じられました。THCは幻覚や多幸感といった精神作用を持ち、依存性や健康被害の […]