日経ニュースで話題の企業を財務分析

財務が未来を動かす──三菱重工、原子力復権の先陣へ

Facebook
X
Email
Print
目次

三菱重工、原発人材を過去最多採用へ

三菱重工業が2025年度、原子力分野で過去最多となる200人超の採用に踏み切ります。次世代原子炉の開発や、美浜原発の新設を視野に入れた布石です。IHIもこの流れに追随し、2030年までに同分野で1,000人体制を構築する方針を打ち出しました。

震災以降、縮小の一途をたどっていた原子力人材市場に、静かではあるものの、着実な復調の兆しが見え始めています。背景にあるのは、AIやデータセンターによる電力需要の急増、そしてエネルギー安全保障と脱炭素の観点から進む“原発の再評価”です。

原発回帰の裏にある財務体力の差

こうした動きは技術や政策だけでは語り切れません。財務の視点から両社を比較すると、戦略の背景にある体力差が浮かび上がってきます。

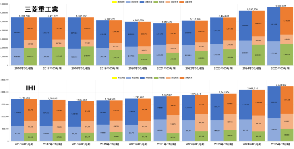
三菱重工のバランスシート(BS)は、この10年で安定性・厚みともに着実に強化されてきました。

250901三菱重工業・IHI-BS推移
250901三菱重工業・IHI-BS推移

一方、IHIは改善傾向にあるものの、総資産や自己資本比率など複数の指標で一歩譲る水準です。この財務基盤の違いが、採用や設備投資といった“先手”の一手に結びついているのではないでしょうか。

長期投資を支える企業の「財務耐久力」

未来を見据えた研究開発や人材投資には、財務的な耐久力が問われます。それを持つ企業だけが、社会構造の転換点でリスクを取ることができるのです。

昨今のマーケットでは、ROE(自己資本利益率)重視の傾向が強まっています。もちろん、資本効率投下資本に対していくら利益が上がったかについての統合指標。
詳しくはこちら
の視点は経営において不可欠です。しかし、それが過度に意識されることで、企業は目先のリターンを優先し、将来への布石となる中長期投資を先送りしてしまう危険性があります。

原子力の競争力は短期最適では測れない

とりわけ原子力のような長期スパンの技術領域では、こうした“短期最適”の思想は命取りです。信頼の構築と継続的な知見の積み重ねこそが、競争力の源泉となるからです。

三菱重工の今回の決断は、「財務健全性を備えた企業だからこそ、社会にとって必要だが回収に時間のかかる投資にも踏み出せる」というメッセージを内包しています。

未来への挑戦を可能にする「財務の力」

企業にとって、未来への挑戦はリスクでもあります。しかし、堅牢な財務体質を背景に持つことで、それは“挑戦”から“戦略”へと昇華します。静かに、しかし確実に。今、日本企業が本来持っていた長期主義の強さが、原子力というフィールドで再び動き始めています。

■この企業の最新の分析はこちら → https://bm.sp-21.com/detail/E02126

※本記事に掲載された図表・グラフはすべて、企業力Benchmarker(株式会社SPLENDID21)による分析結果に基づいて作成されています。

Facebook
X
Email
Print
Picture of 山本 純子
山本 純子
株式会社SPLENDID21 代表取締役。企業評価・経営者評価のスペシャリスト。 多変量解析企業力総合評価「SPLENDID21」というシステムにより、通常の財務分析ではできなかった経営全体を「見える化」するシステムを提供。 近年では様々な企業が本手法を利用して莫大なデータより有用な情報を引き出し、実際の経営に役立てています。 代表者プロフィールはこちら
Picture of 山本 純子
山本 純子
株式会社SPLENDID21 代表取締役。企業評価・経営者評価のスペシャリスト。 多変量解析企業力総合評価「SPLENDID21」というシステムにより、通常の財務分析ではできなかった経営全体を「見える化」するシステムを提供。 近年では様々な企業が本手法を利用して莫大なデータより有用な情報を引き出し、実際の経営に役立てています。 代表者プロフィールはこちら
関連記事

<!doctype html> 長引く物価高が家計を直撃するなか、関東で約470店を展開する中華チェーン「日高屋」は、あえて価格を抑える戦略で存在感を増している。 価格を抑えて粗利を伸ばす戦略 「390円のラ […]

カーライルによるホギメディカル買収の概要 米投資ファンドのカーライル・グループが、手術用品メーカーのホギメディカルをTOB(株式公開買い付け)により買収する方針を固めた。買収額は約1,500億円規模で、成立すれば同社は非 […]

成長市場のインドでホシザキが攻めの一手を打つ。厨房機器大手の同社は、経済成長とともに外食市場が急拡大するインドにおいて、生産体制の強化に乗り出した。 インド市場での積極投資とグローバル展開 2026年6月には既存のタッド […]

フィジカルAI時代に向けたファナックとエヌビディアの提携 産業用ロボット世界最大手のファナックが、沈静化する市場に一石を投じる動きを見せている。AIを活用した新時代のモノづくり──いわゆる「フィジカルAI」への本格対応と […]